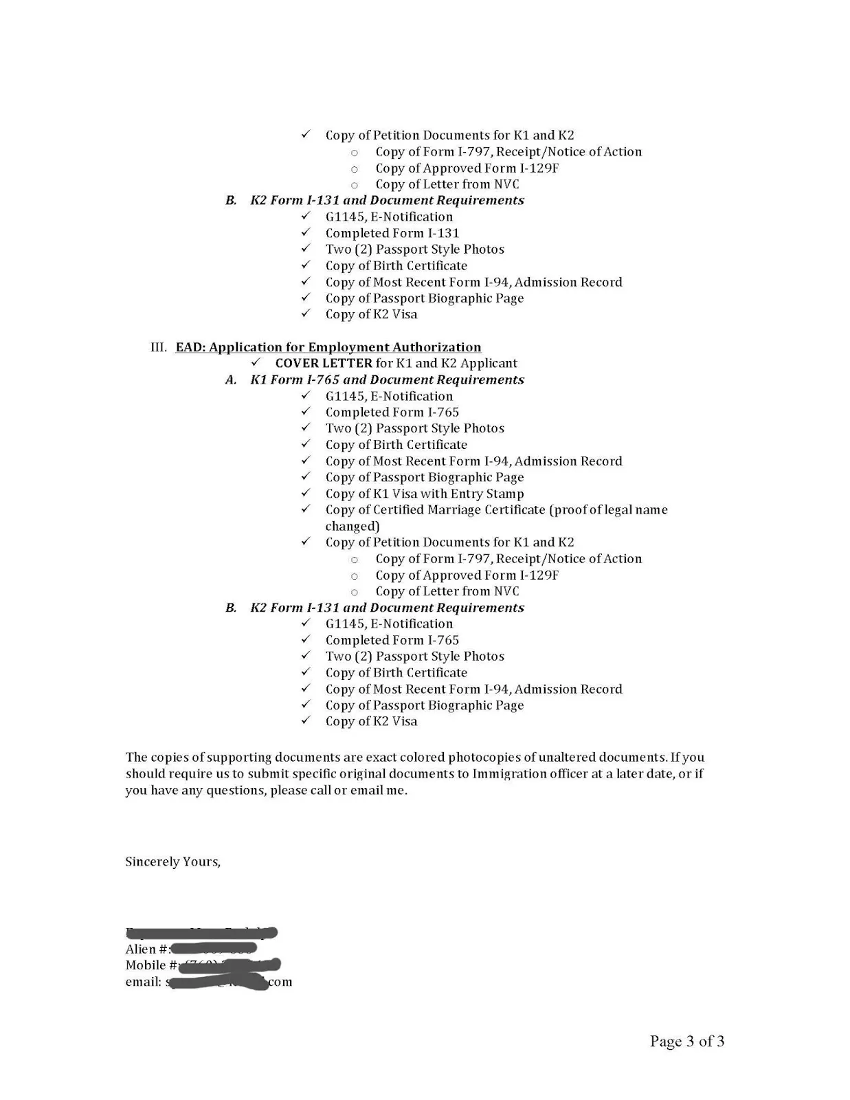
What is a K1 Visa Cover Letter?
A K1 visa cover letter, also known as a letter of intent, is a crucial document in the K1 visa application process. It serves as an introduction to your application and allows you, the applicant, to present your case to the United States Citizenship and Immigration Services (USCIS). It’s your opportunity to tell your story, explain your relationship with your fiancé(e), and demonstrate your genuine intent to marry and live in the United States. This letter is not just a formality; it’s a vital component that can significantly impact the outcome of your application. It sets the tone for the entire application and provides context to the supporting documents you submit.
Why is the K1 Visa Cover Letter Important?
The K1 visa cover letter plays a vital role for several reasons. First, it personalizes your application. While the supporting documents provide factual evidence, the cover letter allows you to express your feelings, intentions, and the depth of your relationship. Second, it provides context. It helps the USCIS officer understand the documents and how they relate to your specific situation. Third, it clarifies any potential ambiguities. If there are gaps in your documentation or anything that might raise questions, the cover letter allows you to address them directly. Finally, a well-written cover letter demonstrates your commitment to the relationship and the immigration process, increasing your chances of approval. This is your chance to tell your story and show the genuine nature of your intentions.
Key Elements of a K1 Visa Cover Letter

A compelling K1 visa cover letter includes several key elements. It should begin with a formal greeting and clearly state the purpose of the letter, which is to support your K1 visa application. It must introduce both you (the applicant) and your fiancé(e). The letter should provide a detailed account of your relationship, including how you met, when you started dating, and the significant milestones you’ve shared. Include the date and place you intend to marry. Explain the evidence you are providing to prove your relationship is real. The letter should also address your plans for the future, including where you will live and how you will support yourselves. End the letter with a sincere closing, reiterating your commitment to the relationship and the immigration process.
Your Personal Introduction
Start your K1 visa cover letter with a warm and professional greeting. Clearly state your name, your fiancé(e)’s name, and that you are applying for a K1 visa. Provide basic information about yourself, such as your current address and contact information. Briefly mention your fiancé(e)’s status in the US. This initial section sets the stage for the rest of your letter and provides the necessary context for the USCIS officer. Keep this section concise and focused, making sure to clearly identify the purpose of the letter and your relationship with your fiancé(e).
Details of Your Relationship
This is the heart of your cover letter. Provide a detailed account of your relationship with your fiancé(e). Explain how you met, whether in person or online. Include the date and location of your first meeting or significant interaction. Describe how your relationship developed over time, including important dates and events that strengthened your bond. Include details about how you maintained your relationship if you were in a long-distance situation. Be specific and include meaningful anecdotes that illustrate the depth of your connection. Share stories of shared experiences, special occasions, and how you support each other. This section should paint a clear picture of your genuine relationship.
Evidence of a Bona Fide Relationship

In this section, detail the evidence you are providing to support the authenticity of your relationship. This may include photos, emails, text messages, social media interactions, and call logs. Also, include evidence of joint activities, such as travel itineraries, receipts from shared experiences, and gifts exchanged. If you have met each other’s families or friends, mention that as well. Clearly state how each piece of evidence supports your claim of a genuine relationship. Organize the evidence logically and reference it in your narrative to show how it supports your story. The more comprehensive and well-organized your evidence, the stronger your case.
Financial Support Information
Briefly mention the financial support your fiancé(e) will provide. Your fiancé(e) (the US citizen) will need to file an Affidavit of Support (Form I-134) to demonstrate that they can financially support you. Although you don’t need to go into excessive detail in the cover letter, mentioning this commitment adds to the overall strength of your application. Briefly state that your fiancé(e) is prepared to meet the financial requirements and that you have reviewed the documentation being submitted with the application. This conveys your understanding of the process and your readiness to comply with the requirements. This reinforces your commitment to a successful future together.
Your Plans for the Future
In this section, outline your plans for the future. Describe where you plan to live after your marriage. Discuss your intentions regarding employment, education, or any other life goals you have. Be specific and realistic about your plans. Show that you have considered the practical aspects of building a life together. Mention the date and location of your planned wedding, which further demonstrates your serious intentions. This section provides the USCIS with a clear picture of your commitment to building a life together in the United States, increasing the likelihood of your visa approval. Consider including your plans regarding career and how you are looking forward to start your life in the US.
Common Mistakes to Avoid

Avoid common mistakes that can lead to delays or denials. Do not provide vague or generic statements. Tailor your letter to your specific situation and relationship. Do not include excessive personal information that is not relevant to your case. Be truthful and accurate, as any inconsistencies can raise suspicion. Do not omit crucial details about your relationship. Avoid using informal language or slang, and maintain a professional tone. Make sure you do not copy and paste from templates without personalizing the content. Proofread your letter carefully to eliminate any errors in grammar or spelling. Lastly, avoid using negative language or complaining about the process.
Drafting Your K1 Cover Letter Step by Step
To draft an effective cover letter, start by gathering all necessary information and documents. Create an outline to structure your letter logically. Begin with your introduction, detailing your names and purpose. Write about your relationship history in chronological order, including key dates and events. Include a section on evidence of your relationship. Provide details about your fiancé(e)’s financial support. Discuss your future plans. Proofread and edit your letter meticulously. Ensure that the letter is written in a clear and concise manner. Seek feedback from others, such as friends or family members. Check for any missing details or inconsistencies. When you’re satisfied, prepare the final version for submission.
Proofreading and Editing Your Letter
Thorough proofreading and editing are essential. Check for any grammatical errors, spelling mistakes, and punctuation issues. Ensure the tone of your letter is appropriate and professional. Verify that all information, including dates, names, and locations, is accurate. Read the letter aloud to identify any awkward phrasing or unclear sentences. Ask someone else to review your letter for a fresh perspective. Make sure the language used is clear and easily understood. Correct any inconsistencies or errors before submitting your letter. This ensures that your application presents a professional and polished appearance, increasing the chances of approval.
Submitting Your K1 Visa Cover Letter

Include your cover letter at the beginning of your K1 visa application package. Ensure it is properly formatted and easy to read. Make sure your cover letter is signed and dated. Follow all the instructions provided by the USCIS. Include your cover letter with all the supporting documentation. Keep a copy of your cover letter for your records. Consider sending your application via a tracked delivery method to confirm receipt by the USCIS. Remember that the cover letter is a crucial piece of the puzzle and should be treated with care and attention. Submitting a well-crafted cover letter will significantly improve your chances of success and bring you one step closer to starting your new life.
